Send inquiry
| Post Date: | Jan 04,2022 |
| Expiry Date: | Jan 04,2023 |
| Detailed Description: |
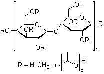
Cas No. :9004-65-3
Quantity: 10000TMetric Tons Price:3.7 USD Kilograms Payment Method: T/T,L/C Chemix Specialty Chemical Co.,ltd(C.S.C.)in shanghai, China. It has been supplier for cellulose ether(HPMC,HEC,MHEC and CMC ) for more than 10 years. HPMC(Building and Coating grade,Cosmetic and Personal Care grade, Ceramic grade, Food and Pharmacy grade,PVC Making and paint-remover) More info. about hpmc ,please contact sales@chemixsc.com |
| CAS Registry Number: | 9004-65-3 |
| Synonyms: | ;HPMC;(2R,3R,4S,5R,6S)-3,4,5-trimethoxy-2-(methoxymethyl)-6-[(2R,3R,4S,5R,6R)-4,5,6-trimethoxy-2-(methoxymethyl)tetrahydropyran-3-yl]oxy-tetrahydropyran;1-[[(2R,3R,4S,5R,6S)-3,4,5-tris(2-hydroxypropoxy)-6-[(2R,3R,4S,5R,6R)-4,5,6-tris(2-hydroxypropoxy)-2-(2-hydroxypropoxymethyl)tetrahydropyran-3-yl]oxy-tetrahydropyran-2-yl]methoxy]propan-2-ol;Hydroxypropyl methylcellulose;Hydroxypropyl methyl cellulose;HPMCP-HP55; |
| Molecular Formula: | C12H20O10 |
| Molecular Weight: | 324.2848 |
| Molecular Structure: | nload="javascript:DrawImage(this);">
|
| Safety Description: | S24/25:; |

nload="javascript:DrawImage(this);">