Send inquiry
| Post Date: | Dec 24,2021 |
| Expiry Date: | Jun 22,2022 |
| Detailed Description: |
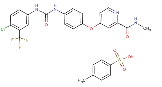
Cas No. :475207-59-1;4750207-59-1
Sorafenib tosylate |
| CAS Registry Number: | 475207-59-1;4750207-59-1 |
| Synonyms: | ;SORAFENIB-D3;4-Methyl-3-((4-(3-pyridinyl)-2-pyrimidinyl)amino)-N-(5-(4-methyl-1H-imidazol-1-yl)-3-(trifluoromethyl)phenyl)benzamide monomethanesulfonate;N-[4-Chloro-3-(trifluoromethyl)phenyl]-N'-[4-[2-(N-methylcarbamoyl)-4-pyridyloxy]phenyl]urea Tolsylate;Sorafenib TsOH salt; |
| Molecular Formula: | C21H16ClF3N4O3·C7H8SO |
| Molecular Weight: | 637.03 |
| Molecular Structure: | nload="javascript:DrawImage(this);">
|

nload="javascript:DrawImage(this);">