Other Usage
EDTA Calcium Salt
2021-12-17 16:13  Click:0
Price:Unkonwn
Send inquiry
  Post Date: Dec 16,2021
  Expiry Date: Jun 14,2022
  Detailed Description: Cas No. :62-33-9;3355-89-9;68162-45-8;69843-95-4;74011-06-6;7732-93-6;100333-49-1;108703-54-4;12002-29-8;12558-50-8;1282-71-9;1288-07-9;19067-42-6;35-00-7;39208-14-5;50322-17-3;5297-15-4;5639-01-0;56532-88-8;57131-51-8;61864-74-2;63042-69-3

  CAS Registry Number:

62-33-9;3355-89-9;68162-45-8;69843-95-4;74011-06-6;7732-93-6;100333-49-1;108703-54-4;12002-29-8;12558-50-8;1282-71-9;1288-07-9;19067-42-6;35-00-7;39208-14-5;50322-17-3;5297-15-4;5639-01-0;56532-88-8;57131-51-8;61864-74-2;63042-69-3

  Synonyms: ;Calcium disodium ethylenediamine tetraacetic acid;Disodium calcium edta;Edetate calcium disodium (anhydrous);(Ethylenedinitrilo)tetraacetic acid calcium disodium salt;Acetic acid, (ethylenedinitrilo)tetra-, calcium disodium salt;Adsorbonac;Antalin;CCRIS 3657;Calciate(2-), ((N,N'-1,2-ethanediylbis(N- (carboxymethyl)glycinato))(4-)-N,N',O,O',O(N),O(N'))-, disodium, (OC-6-21)-;Calciate(2-), ((N,N'-1,2-ethanediylbis(N- (carboxymethyl)glycinato))(4-)-N,N',O,O',ON,ON'), disodium, (OC-6-21)-;Calciate(2-), ((ethylenedinitrilo)tetraacetato)-, disodium;Calciedetate de sodium;Calcioedetato sodico;Calcitetracemate disodium;Calcium EDTA;Calcium disodium (ethylenedinitrilo)tetraacetate;Calcium disodium edathamil;Calcium disodium edetate;Calcium disodium ethylendiaminetetraacetate;Calcium disodium ethylenediaminetetraacetate;Calcium disodium versenate;Calcium edetate de sodium;Calcium sodium EDTA;Calcium titriplex;Calcium-EDTA;Chelaton;Dinatrium calcium edeticum;Disodium ((ethylenedinitrilo)tetraacetato)calciate;Disodium calcium ethylenediaminetetraacetate;Disodium monocalcium EDTA;EDTA calcium disodium salt;EDTA disodium calcium salt;Edathamil calcium disodium;Edetamin;Edetamine;Edetate calcium;Edetate calcium disodium;Edetato sodico calcico;Edetic acid calcium disodium salt;Edta,calcium;Edta,calcium disodium;Edta-calcium sodium;Edtacal;Ethylenediaminetetraacetic acid calcium disodium salt;Ethylenediaminetetraacetic acid calcium disodium salt (1:1:2);Ethylenediaminetetraacetic acid, calcium disodium chelate;Ethylenediaminetetracetic acid calcium sodium salt (1:1:2);Glycine, N,N'-1,2-ethanediylbis(N-(carboxymethyl)-, calcium sodium salt (1:1:2);HSDB 4072;Ledclair;Monocalcium disodium EDTA;Mosatil;NSC 310151;Natrii calcii edetas;Rikelate calcium;Sodium (calciedetate de);Sodium calcium edetate;Sodium calciumedetate;Sormetal;Tetacin;Tetacin-calcium;Tetazine;UNII-8U5D034955;Versene;Versene CA;Calciate(2-), ((N,N'-1,2-ethanediylbis(N-((carboxy-kappaO)methyl)glycinato-kappaN,kappaO))(4-))-, disodium, (OC-6-21)-;Calciate(2-), ((N,N'-1,2-ethanediylbis(N-((carboxy-kappaO)methyl)glycinato-kappaN,kappaO))(4-))-, sodium (1:2), (OC-6-21)-;Calciate(2-), ((N,N'-1,2-ethanediylbis(N- (carboxymethyl)glycinato))(4-)-N,N',O,O',ON,ON')-, disodium, (OC-6-21)- (9CI);Ethylene diamine tetraacetic acid, disodium calcium salt;Ethylenediaminetetraacetic Acid Disodium Calcium Salt;Ethylensdiaminetetraacetic acid disodium calcium salt;Ethylendiaminetetraacetic acid disodium calcium salt;2,2',2'',2'''-(ethane-1,2-diyldinitrilo)tetraacetic acid;calcium sodium 2,2',2'',2'''-(ethane-1,2-diyldinitrilo)tetraacetate (1:2:1);2-[(4-ethyl-5-thiophen-2-yl-4H-1,2,4-triazol-3-yl)sulfanyl]-1-[1-(4-fluorophenyl)-2,5-dimethyl-1H-pyrrol-3-yl]ethanone;EDTA Calcium Salt;EDTA-CaNa2;Edta Calcium Disodium;
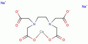
  Molecular Formula: C10H12CaN2Na2O8
  Molecular Weight: 374.2684
  Molecular Structure: 62-33-9;3355-89-9;68162-45-8;69843-95-4;74011-06-6;7732-93-6;100333-49-1;108703-54-4;12002-29-8;12558-50-8;1282-71-9;1288-07-9;19067-42-6;35-00-7;39208-14-5;50322-17-3;5297-15-4;5639-01-0;56532-88-8;57131-51-8;61864-74-2;63042-69-3 Calcium disodium EDTAnload="javascript:DrawImage(this);">
  Hazard Symbols:  Xi:Irritant;
  Risk Codes: R36/37/38:;
  Safety Description: S26:;
S36:;

Contact information
Company:DESTOON
Status:offline Send letter online chat
Name:pu(Mr.)
Area:Beijing
Address:china
Comments
0 comments