Send inquiry
| Post Date: | Dec 08,2021 |
| Expiry Date: | Dec 08,2022 |
| Detailed Description: |
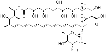
Cas No. :1397-89-3;30652-87-0
Name:Amphotericin B CAS No:1397-89-3 M.F.:C47H73NO17 M.W.:924.08 Standard::USP30 |
| CAS Registry Number: | 1397-89-3;30652-87-0 |
| Synonyms: | ;(1R,3S,5R,6R,9R,11R,15S,16R,17R,18S,19E,21E,23E,25E,27E,29E,31E,33R,35S,36R,37S)-33-[(3-amino-3,6-dideoxy-beta-D-mannopyranosyl)oxy]-1,3,5,6,9,11,17,37-octahydroxy-15,16,18-trimethyl-13-oxo-14,39-dioxabicyclo[33.3.1]nonatriaconta-19,21,23,25,27,29,31-heptaene-36-carboxylic acid;Fungizone;(1R,3S,5R,6R,9R,11R,15S,16R,17R,18S,19E,21E,23E,25E,27E,29E,31E,33R,35S,36R,37S)-33-[(3-Amino-3,6-dideoxy-b-D-mannopyranosyl)oxy]-1,3,5,6,9,11,17,37-octahydroxy-15,16,18-trimethyl-13-oxo-14,39-dioxabicyclo[33.3.1]nonatriaconta-19,21,23,25,27,29,31-heptaene-36-carboxylicacid; 14,39-Dioxabicyclo[33.3.1]nonatriaconta-19,21,23,25,27,29,31-heptaene-36-carboxylicacid, 33-[(3-amino-3,6-dideoxy-b-D-mannopyranosyl)oxy]-1,3,5,6,9,11,17,37-octahydroxy-15,16,18-trimethyl-13-oxo-,(1R,3S,5R,6R,9R,11R,15S,16R,17R,18S,19E,21E,23E,25E,27E,29E,31E,33R,35S,36R,37S)-;Abelcet; Abelecet; AmBisome; Ampho-Moronal; Amphocin; Amphozone; Apothecon;Fungilin; Fungizona; Halizon; LNS-AmB; NS 718; NSC 527017; |
| Molecular Formula: | C47H73NO17 |
| Molecular Weight: | 924.079 |
| Molecular Structure: | nload="javascript:DrawImage(this);">
|
| Hazard Symbols: | |
| Risk Codes: | R36/37/38:; |
| Safety Description: | S26:; S36:; |

nload="javascript:DrawImage(this);">